理論課 one-drive Dex IT ICT CKW Kahoot

  1. 電腦系統 chm 旗標
    01-09 10-20
  2. 八達通 octopus tape
    輸入輸出 RFID 無人超市
    MICR OCR OMR OMR 觸控螢幕
    人手分信 Mail Sorting Mail sorting usps
    parcel parcel
    星閃
    USB Bluetooth-Wifi-RF-IR
  3. interrupts 8086 ROM BIOS
    Compiler Explorer
  4. CPU 指令週期 swf
    registers benchmark
    電腦組裝 DDR2-5
    噴墨式inkjet 鐳射打印機laser printer
    熱感式thermal 點陣式dot matrix
    8-bit breadboard computer
    Arduino智能
    RFID門禁管理 RFID Hacking Cards
  5. 電腦語言
    C vs ASM objdump -d abc.o
  6. 編譯 影片 pdf pptx Parser.c
    Interpreter/Compiler ...Parser...
  7. 數據控制
  8. 排序搜尋 123 simpleSort swap
    MergeSort 2 3 4 5 insertionSort
    linked list selectionSort worst case

  9. Guide 電腦網絡 network
    packet switch
    EDB以太網 網路概論 Topology

    IoT物聯網互聯網應用

    Domain DNS
    TLD ccTLD gTLD 登記域名 域名 收費
  10. 無線網絡 faq 無線基地台AP


    WiFi-HK faq Cable vs DSL vs Fiber
    wifi-BlueTooth-RF-IR
  11. OS操作系統
    LinuxKali(hacking)
  12. HTML
  13. Data Structure
    資料結構
    subroutine-stack swap strupr/strlwr
  14. audio-size

    color-depthimage-sizevideo-size

    bitrate = Sample freq * depth * channel

    Graphics圖像 png,avi,mp3


  15. Expert System 專家系統
    Medical Diagnosis 醫療診斷
    Health
  1. 系統開發 System Development
    RAD
    解決問題 pptx
  2. 二進制 補碼/反碼 1010
    int8 int32 int8-quiz int8-quiz2
    int8-negation int8-add n-bit-pattern
    Data Rep code39 fonts
    char/code Binary Calc n-bit address
    24   =                          16
    28   =                         256
    216  =                      65,536
    224  =                  16,777,216
    ipv4 (FF.FF.FF.FF)
    232  =               4,294,967,296
    264  =  18,446,744,073,709,551,616
    ipv6 (FFFF:FFFF:FFFF:FFFF:FFFF:FFFF:FFFF:FFFF)
    2128 = 340,282,366,920,938,463,
        463,374,607,431,768,211,456
    

  3. 資訊保安動畫 資訊保安
    動態密碼鎖 網上操守
    數碼證書 Digital Cert

    PKI key HKU 密碼系統
    沒人用的智能身分證
  4. 雙重認証
    IBM Sec
    virus-worm Virus Firewall

  5. VPN 虛擬私人網絡
  6. SSL/TLS Programming
    程式 key sslClient.c

  7. 個人資料(私隱)條例 PCPD 個案
  8. 康體通 GovHK一站通
    ESDlife 生活易 public library 圖書館
    Smart Living 智能家居
    數碼生活 Home WeHome ZigBee
  9. 知識產權
    人體工程學
    Fuzzy Logic
    創科在韓 VR/AR
  10. Barcode / QRcode

  11. 摘要 OpenU
  12. 雲端服務
  13. 工業4.0
    德國工業4.0的震撼
    工業4.0全面啟動
    生產力局 HKPC HKCERT

    勒索軟件、電郵騙案
  14. A.I. Machine Learning
    Neural network神經網絡
    Deep Learning深度學習
    Computer vision, pattern recognition
    Block Chain, FinTech, Big Data, IoT
    AIoT

QR-code ver 40: 1817漢字 4296 char
7-seg

GPS NASA



1.BubbleSort
  
2.SelectionSort ↓ 3.InsertionSort
     
4.BucketSort
  
5.RadixSort
  
blog.kaspersky
Digital Certificates
IPv4 subnet mask

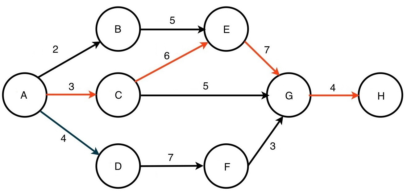
關鍵路徑